当前位置:
深圳新闻网首页
>
深圳新闻
>
图片深圳
>
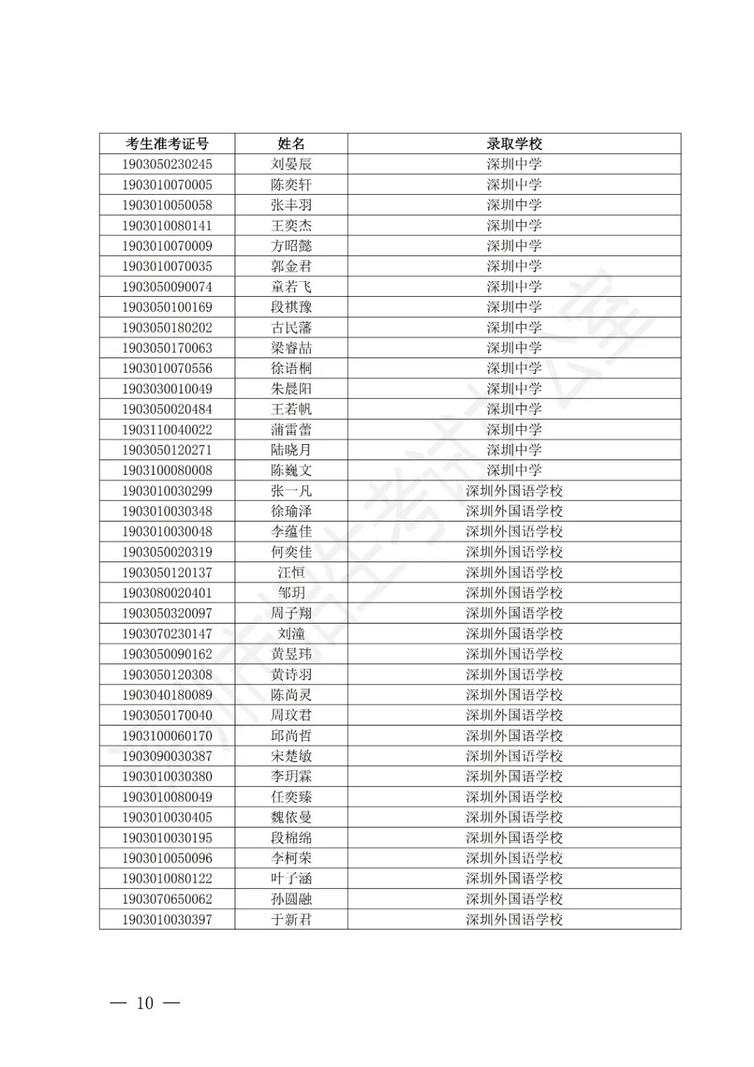
深圳公布2019年公办高中特色团队录取标准 附录取名单
评论
我要分享
2019-07-14 12:25
来源:深圳新闻网
上一页
1
2
3
4
5
6
7
8
9
10
11
12
13
14
15
16
下一页
全文阅读
[责任编辑:孙逊]
其他图片
视频:小偷逃跑时竟朝监控比“耶”, ...
养狗不拴绳被投诉 狗主人:我连狗都 ...
清晨一男子扑向107国道车流中…… ...
广东本科高分优先投档线上考生开始投 ...
不忘初心 牢记使命 | 南园派出所 ...
不忘初心 牢记使命 | 皇岗口岸派 ...
南山某小区发生尾随绑架案?业主群炸 ...
兵马俑莫高窟,我们来了!深港澳台学 ...
新闻评论