新一年的春天到了
大家生活的小目标
由“车厘子自由”
变成了“香椿自由”
面对蔬菜圈里的“土豪”
食安君心疼自己吃不起
但要是买到不合格的农产品
更是心疼自己的胃啊
深圳市市场监督管理局
日前发布了新的一期
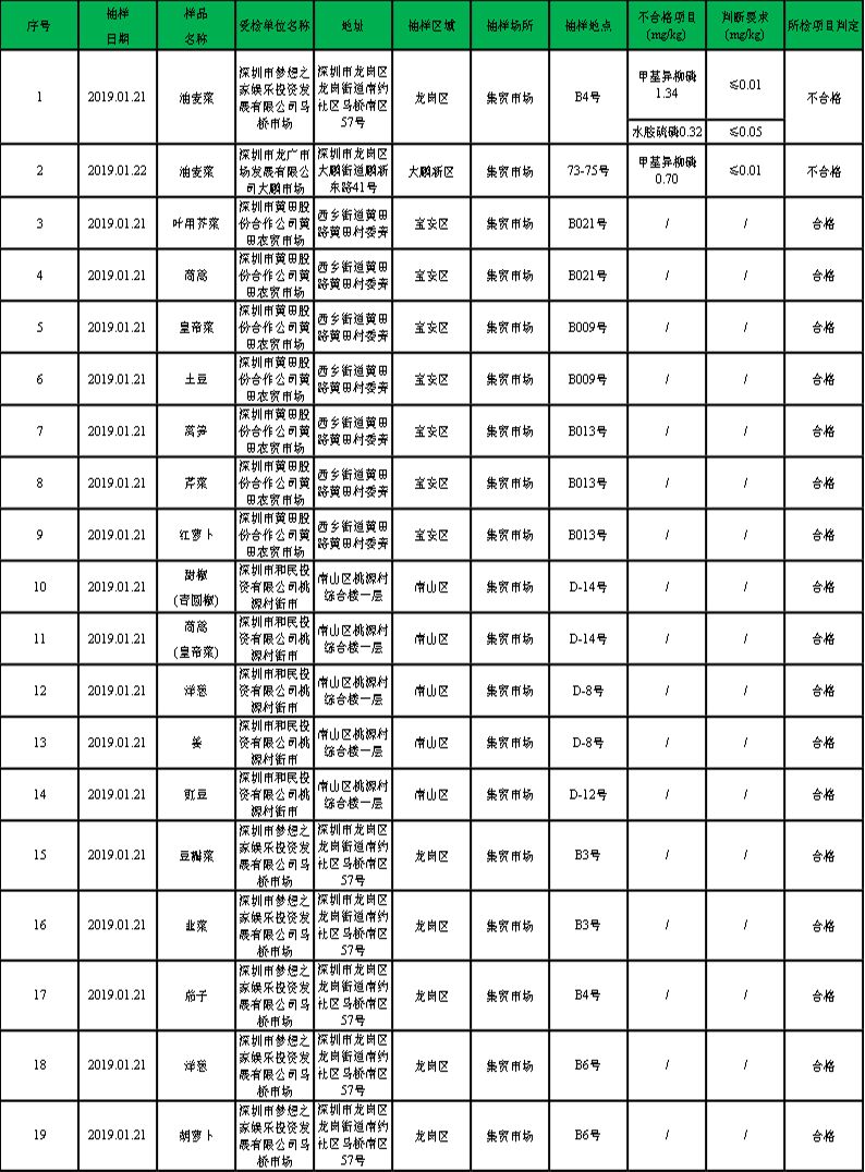
猪肉产品和蔬菜抽检结果
2019年1月21日-1月25日
共抽检25份猪肉和76份蔬菜
猪肉抽样样品全部合格
蔬菜有2份抽样样品不合格

大家要格外注意啦
千万不要购买公布的不合格产品哦
对本次抽检不合格的产品
市市场监督管理局也已采取行政控制措施
防止不合格产品进一步流入市场
Tips
欢迎市民参与食品安全监督工作,关注每期食品抽检信息公布,如发现危害社会公众的食品及其违法行为,请及时拨打食品药品监管部门投诉举报电话12345。
这次抽检合格的肉菜都有哪些呢?
合格猪肉产品榜单请看


合格蔬菜榜单请看





记住要时刻关注抽检信息哦
想要身体健康
就从守护自己的菜篮子做起!
编辑整理:深圳食事药闻
转载请注明以上内
创建国家食品安全示范城市开展第四年,深圳的食品安全事业和这座城市共成长,得到了百姓的口碑和人大代表、政协委员的“点赞”。食品安全永远在路上,党的十九大吹响了“实施食品安全战略”的号角,深圳将以此为契机,严格落实“四个最严”要求,构建“供深食品”标准体系,全力打造市民满意的食品安全城市。
