图解人口普查:我国人口向经济发达区域、城市群进一步集聚
2021-05-12 20:24 来源:前海金融城邮报

导读
5月12日,第七次全国人口普查结果公布。数据显示:全国人口共141178万人,与2010年第六次人口普查的133972万人相比,增加了7206万人,增长5.38%,年平均增长率为0.53%,与2000年至2010年的年平均增长率0.57%下降0.04个百分点。
从总体数据来看,中国仍然是世界第一人口大国,人口总量仍保持平稳低速增长态势,人口增长率5.38%与2000年至2010年间两次普查的增长率5.84%相近。
本次公布的人口普查数据还包含了户别人口、人口地区分布、性别构成、年龄构成、受教育程度、城乡人口、流动人口、民族人口等结构性数据。本文聚焦于第六次人口普查(下文简称“六普”)与第七次人口普查(下文简称“七普”)各省份人口变化情况,结合数据绘制地图进行简要分析。

各省份人口占比变化呈现明显的区域特征
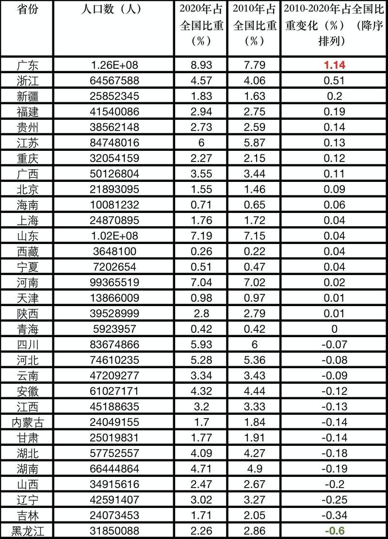
分省份来看, 31 个省份中,人口超过1 亿人的两个省份为广东和山东,在5000 万人至1 亿人之间的省份有9 个,在1000 万人至5000 万人之间的省份有17 个,少于1000 万人的省份有3 个。其中,人口居前五位的省份合计人口占全国人口比重为35.09%。
表1 “七普”全国各省份人口情况

将各省份人口数2020年占全国比重与2010年占全国比重进行比较,可以看出,黑龙江占比降幅最大,为0.6%;广东占比升幅最大,为1.14%。
以红色代表上升、绿色代表下降,将上述数据绘制在一张中国地图上,呈现出较为明显的区域性分布特征:东部区域呈现明显的红色,占比重较为明显;而东北地区呈现较深的绿色,占比下降相对较多;中部地区总体来看呈现浅绿色,占比略微下降;西部地区整体呈现浅红色,占比略微上升。
图1 各省份人口数2010年-2020年占全国比重变化情况 (%)

上图印证了七普公布的区域数据。东部地区人口为563717119 人,占39.93%,所占比重上升2.15 个百分点;中部地区人口为364694362 人,占25.83%,所占比重下降0.79 个百分点;西部地区人口西部地区人口为382852295 人,占27.12%,所占比重上升0.22 个百分点;东北地区人口为98514948 人,占6.98%,所占比重下降1.20 个百分点。
西部三省份人口增长率不亚于东部地区
在12日的发布会上,国务院第七次全国人口普查领导小组副组长、国家统计局局长宁吉喆在介绍区域数据时总结到,我国人口向经济发达区域、城市群进一步集聚。从图1中,不难看出这种趋势。
如果从各省份十年间的人口数量变化幅度来看,在地图上是否会更为直观?笔者通过查找对比六普和七普数据,以同种方式绘制了两次人口普查期间各省份人口的增长率地图。
表2 “七普”与“六普”各省份人口数比对

从人口绝对数量来看,人口出现负增长的六个省份为甘肃、内蒙古、山西、辽宁、吉林、黑龙江。与六普相比,31 个省份中有25 个省份人口增加,人口增长较多的5 个省份依次为:广东、浙江、江苏、山东、河南,分别增加21709378 人、10140697 人、6088113 人、5734388 人、5341952 人。
从人口增长率来看,地图反映出越南越红和越西越红的特征。排名靠前的5个省份依次是西藏21.52%、广东20.79%、浙江18.63%、新疆18.50%、海南16.26%,宁夏以14.30%的涨幅位居第六。与全国占比明显不同,西部地区的三个省份人口增长幅度丝毫不逊于东部地区,可能是因为尽管这几个省份的人口总量相对较少,但人口增长幅度极为可观。
图2 各省份人口数2010年-2020年增长率(%)

同时,从图中也能看到,同为西部地区省份的青海、甘肃、内蒙古,十年间的人口增长率排名分别为为18、26、29,与上述三个省份形成鲜明对比,反映出西部地区各省份人口增长差异极大,区域人口发展不平衡。
人口增长与经济发展有密切的相关性
尽管当前我们面临生育率降低、老龄化等人口问题,但人口增长仍然是经济增长的基础。笔者试图从区域经济发展的视角来解读相关数据。通过收集各省份2010年至2020年GDP数据,并将十年间人口增长率与GDP增长率相比,得出各省份每增长1%GDP可能带来的人口增长率是多少。用上述数据制成图3如下。
图3 各省份2010-2020年人口涨幅与GDP涨幅之比(%)

人口增长与经济增长互为动力。观察图3,可以发现人口涨幅与GDP涨幅的地区分布与图2十分相似,都呈现出越南越红、越西越红的特征。
一方面,经济发达的东部沿海和南方各省经济体量更大,承载人口能力更强,西部几个红色的省份也用单位GDP带动了更大的人口增长率;
另一方面,由于更高的人口增长率,地图上红色越深的地区有更好的人力资源禀赋优势,从而进一步推动当地经济发展,形成了人口增长与GDP增长的良性循环与互动。
这也从侧面印证了七普公布的另一项结构数据:流动人口。
数据显示,流动人口为37582 万人,其中,跨省流动人口为12484 万人。与2010 年相比,人户分离人口增长88.52%,市辖区内人户分离人口增长192.66%,流动人口增长69.73%。
我国经济社会持续发展,为人口的迁移流动创造了条件,人口流动趋势更加明显,流动人口规模进一步扩大。同时,流动人口规模的进一步扩大,为当地特别是经济发达地区带来更多发展动力。
前海传媒 转自 新金融评论




