点击蓝字关注福田工会

福田区总工会在元宵期间开展喜迎二十大、我们的节日系列活动之“欢乐在鹏城·喜粤过大年·欢天喜地闹元宵”线上普惠普庆活动。福田工会实名认证会员可以通过线上趣猜灯谜赢取2000份福利,那么这2000份福礼花落谁家?一起去看看吧~

· 特等奖 (共100人)·


·一等奖 (共300人)·






(左右滑动可查看更多图片)
· 二等奖 (共600人)·











(左右滑动可查看更多图片)
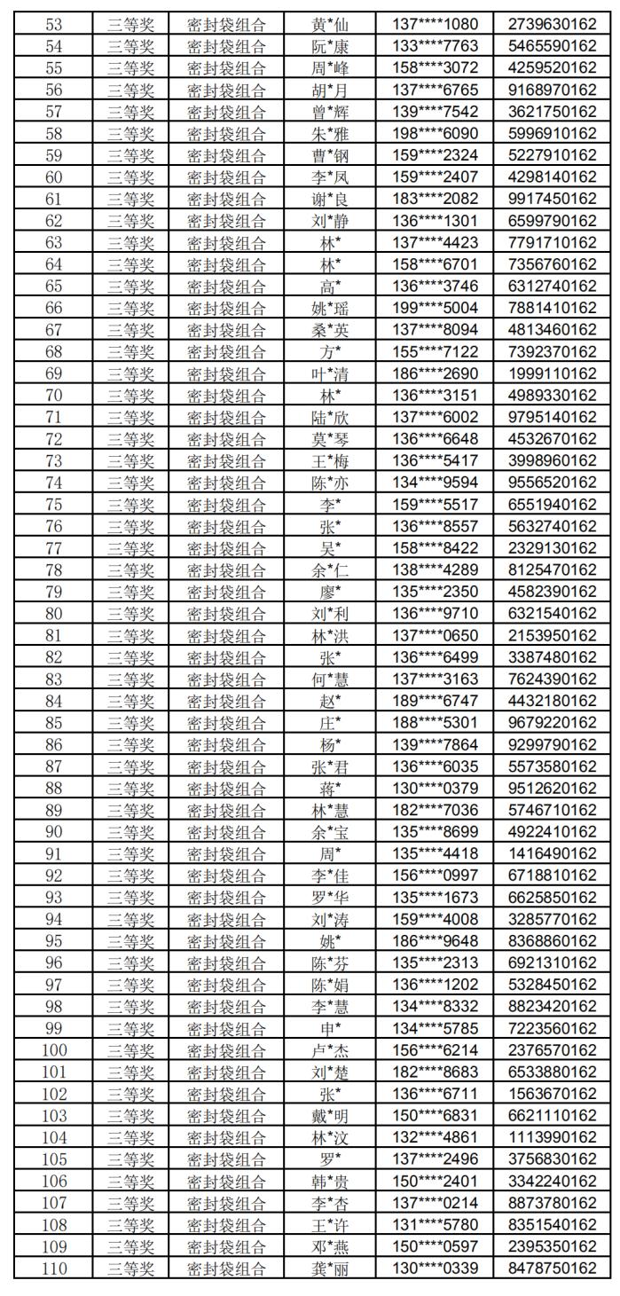
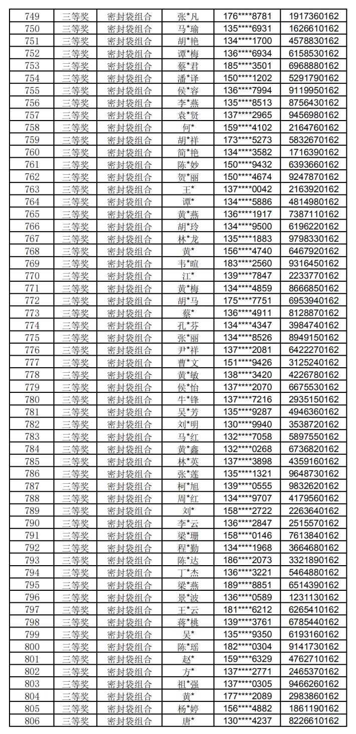
· 三等奖 (共1000人)·


















(左右滑动可查看更多图片)
活动说明
参与活动需先在“深工惠”小程序上参与报名,后台根据报名名单,每天不定时审核筛选中奖名单,不符合会及时取消。若报名不成功,参与答题后抽中奖亦无效,不会派发礼品。
活动结束后,若还有不符合条件的中奖者亦会被取消,空出的名额,将会从参与点击报名了本次活动的职工会员中,根据答题排行榜情况依次选出资料完整的会员派发奖项。
如有疑问,可以添加以下微信进行咨询
联系客服:18033424354(微信咨询)
更多精彩

△ 为福田工会点赞 广东省总工会调研福田园岭工会大食堂

△ 广东省总工会调研福田 推动先行示范工会建设

△“网红食堂”喊你打卡!串串香、卤味、火锅……这里吃饭好吃还不贵!福田工会大食堂等你来~后附详细地址

来源 | 福田区总工会
编辑 | 方晓艺
审校 | 李立新 王素嫣
运营 | 深圳晚报社

