点击蓝字关注福田工会



千份福礼,万份红包,福田区首届职工线上春节联欢晚会你收看了吗?这个春节,福田区总工会开展喜迎二十大、我们的节日系列活动之“欢乐在鹏城·喜粤过大年”暨2022年福田区首届职工线上春晚活动,面向福田广大职工推出系列线上新春福礼。其中,“爱我家园,共创文明”全民创文行动知识竞赛共送出2000份新春好礼,它们最后花落谁家?一起来看看吧~

· 特等奖 (共100人)·


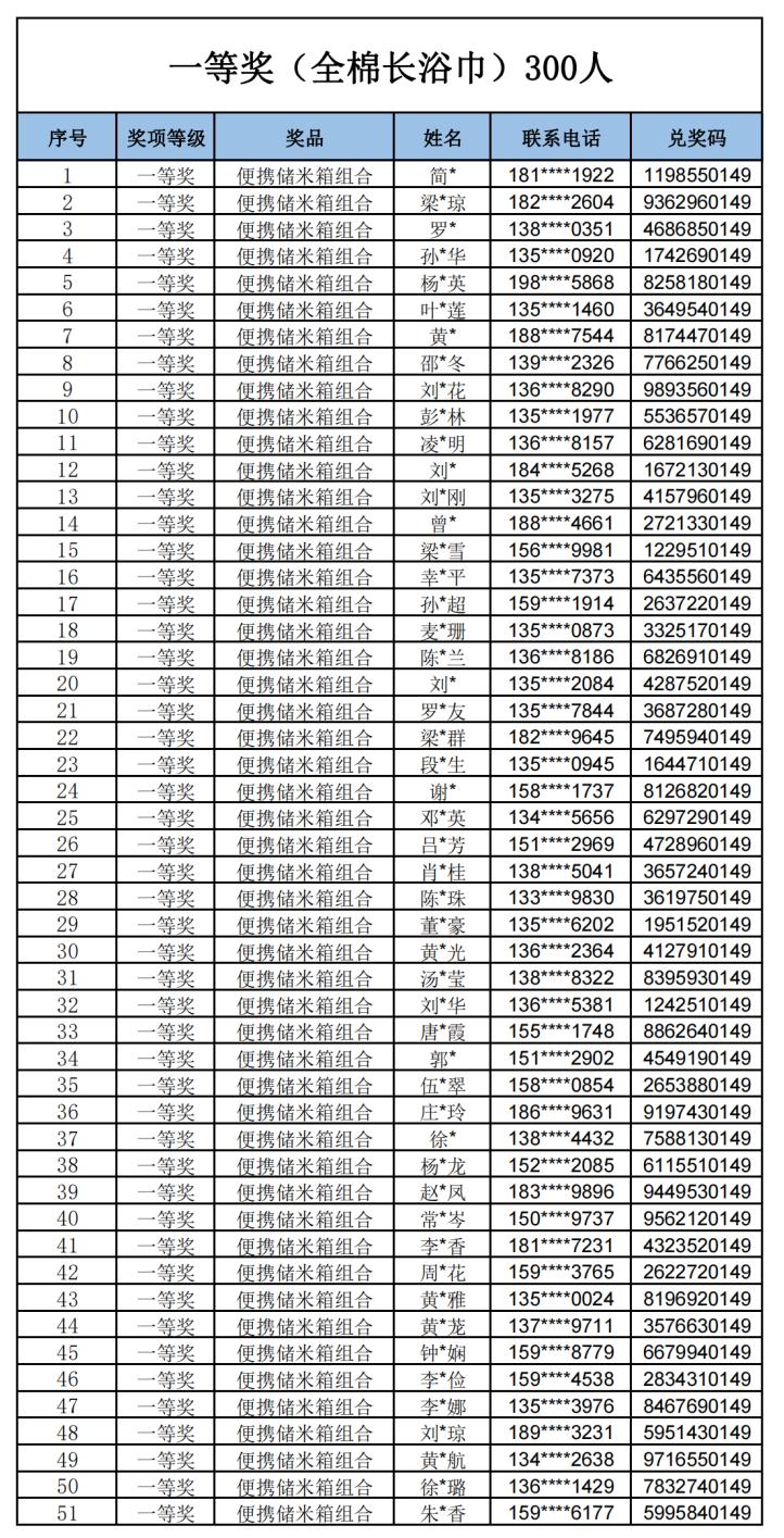
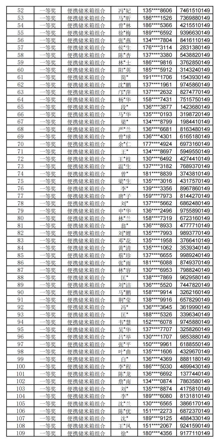
·一等奖 (共300人)·






(左右滑动可查看更多图片)
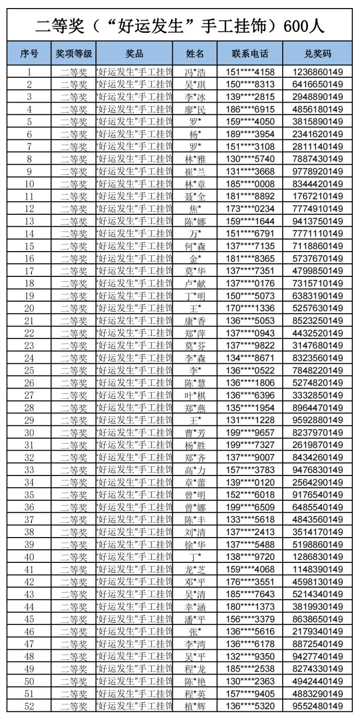
· 二等奖 (共600人)·











(左右滑动可查看更多图片)
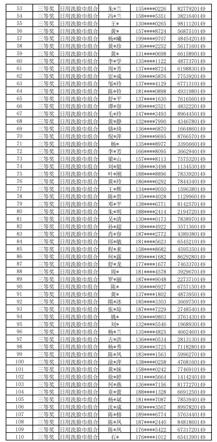
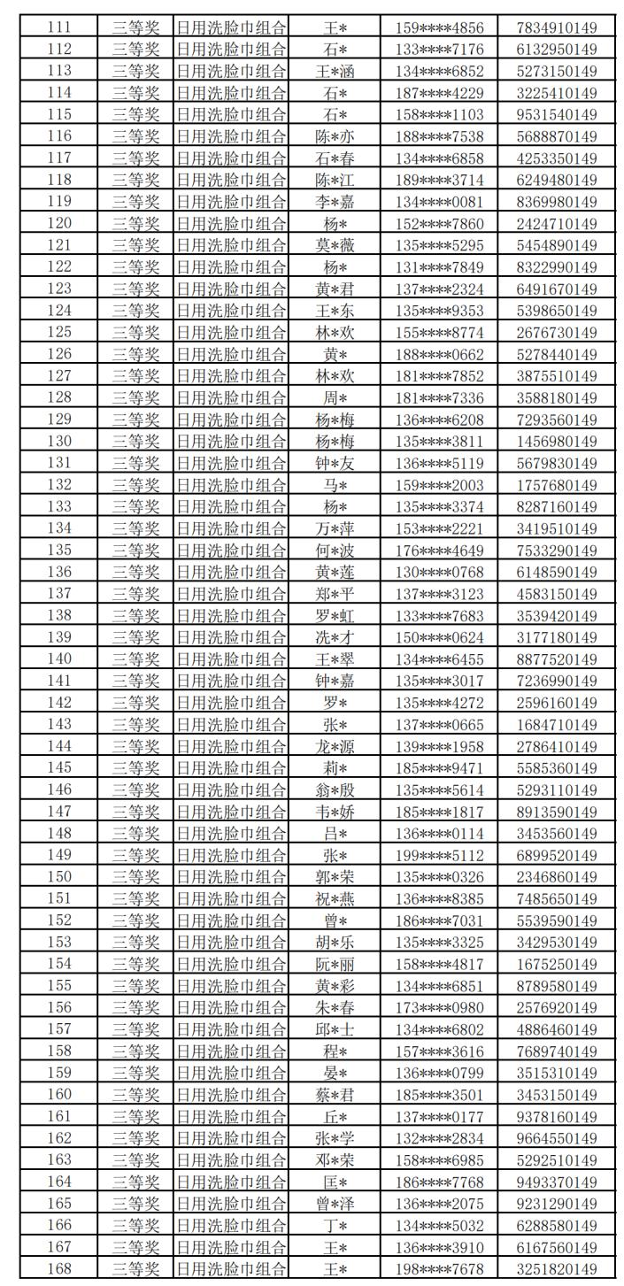
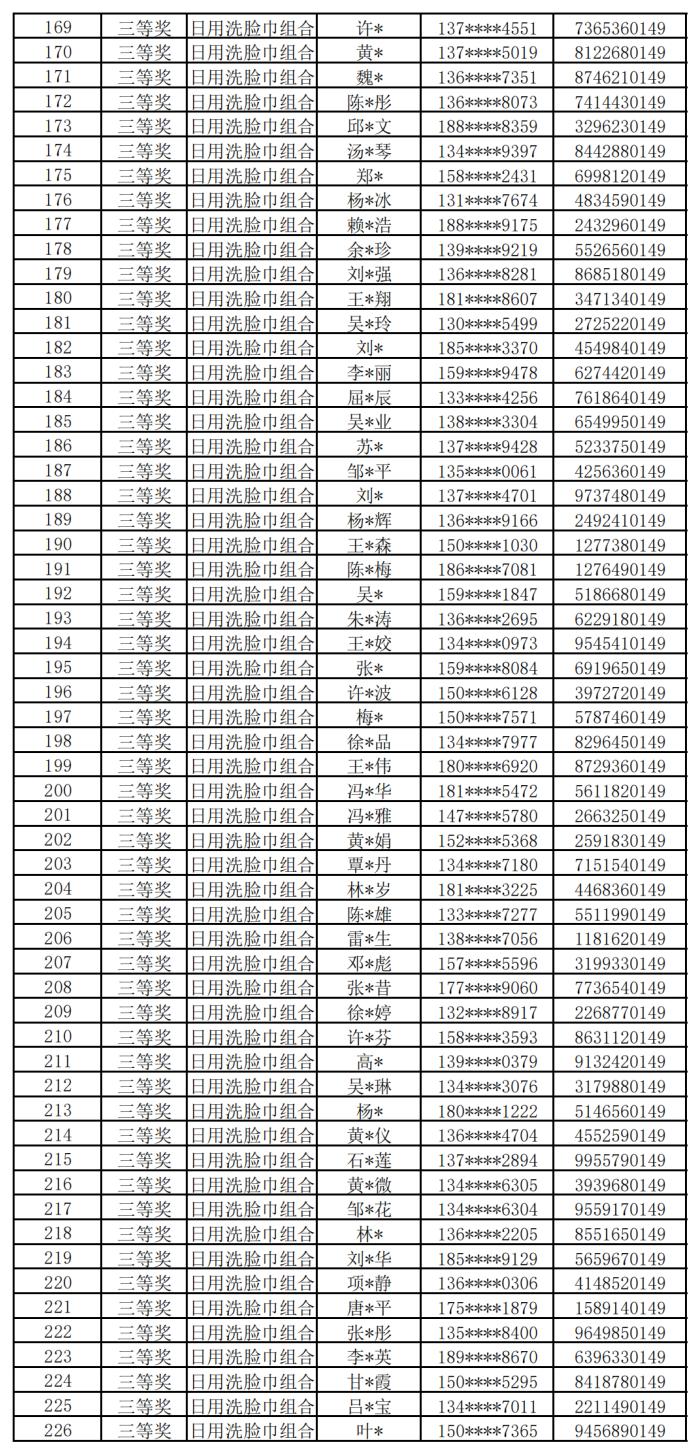
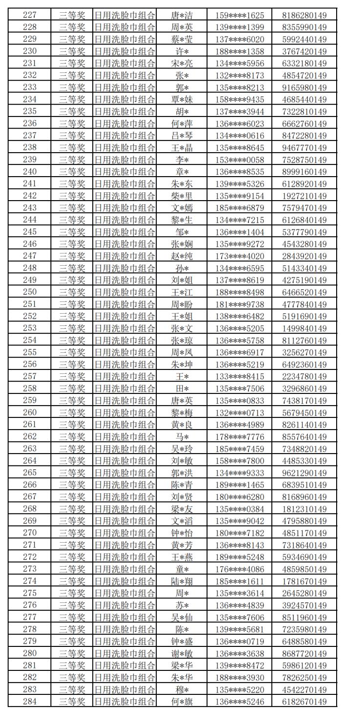
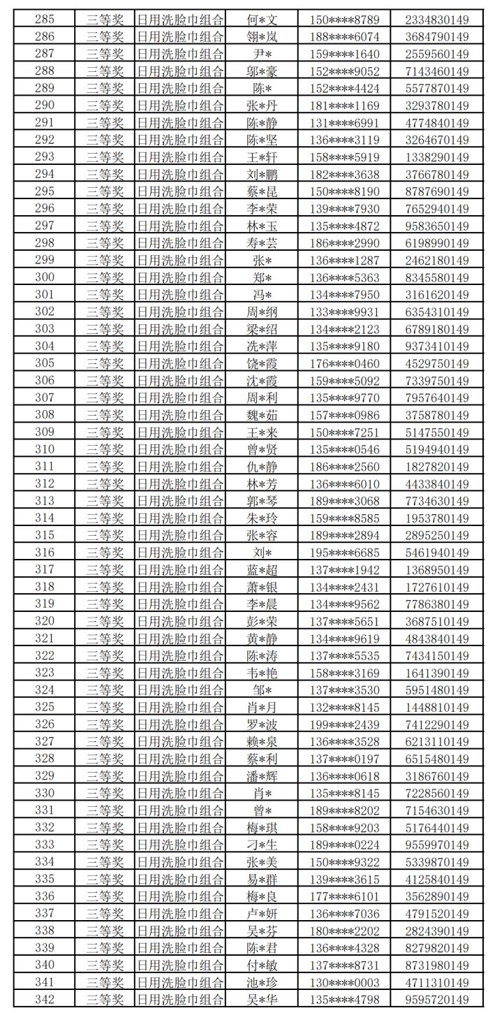
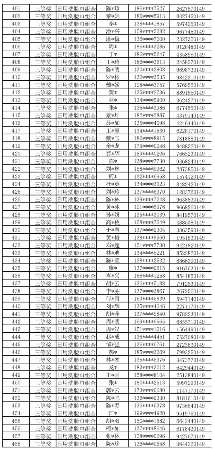
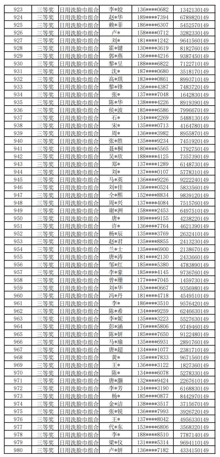
· 三等奖 (共1000人)·


















(左右滑动可查看更多图片)
如有疑问,可以添加以下微信进行咨询
联系客服:18033424354(微信咨询)
更多精彩

△ 为福田工会点赞 广东省总工会调研福田园岭工会大食堂

△ 广东省总工会调研福田 推动先行示范工会建设

△“网红食堂”喊你打卡!串串香、卤味、火锅……这里吃饭好吃还不贵!福田工会大食堂等你来~后附详细地址

来源 | 福田区总工会
编辑 | 方晓艺
审校 | 李立新 王素嫣
运营 | 深圳晚报社

